作者:實驗室專員 來源:依利特 2025-09-16 10:59:11
1、前言
微流量泵是泵的一個發展趨勢。微流量泵通常可以分為小流量、微小流量和超微小流量三個層面,其中超微小流量測量其流量范圍在 1mL/min 甚至幾 nL/min 內。為了更好地實現微 / 納流量流體輸出,本解決方案利用依利特公司生產的 EPP 計量泵系列,通過 PEEK 管 / SS316L 不銹鋼管路分流方法,使泵達到穩定微流量液體輸送的要求。
依利特通過 EPP010 計量泵、SS316L 不銹鋼三通和 PEEK 管 / SS316L 不銹鋼管路,為 EPP 計量泵穩定的微流量輸送提出了解決方案,供相關人員參考使用。
2、儀器配置
EPP010 計量泵是依利特自主研發的中、高壓計量泵,具有流速精確、壓力穩定、耐腐蝕等優點,有多種材質可以選擇。其運用微處理器控制、雙驅動平行泵頭設計,多點流量曲線校正,流量精準。可隨系統壓力變化流速自動補償,保證流速的平穩。柱塞桿采用小凸輪驅動設計,有效控制流體壓力脈動。可廣泛適用于高校實驗室、科研開發、醫藥制造、生物技術、石油化工及特殊領域如高精度催化劑進樣、微反應器進料等,可滿足不同客戶需求。
2.1 EPP 微流量配置清單

3、EPP 微流量分流系統的建立

3.3 微流量分流系統裝置
圖 3-1 微流量分流系統裝置
1. 儲液瓶;2. 輸液泵;3.SS316L 不銹鋼三通;4.PEEK 管 / SS316L 不銹鋼管路
3.5 應用實驗舉例
3.5.1 實驗 1. EPP010 計量泵做微流量分流,將 1mL/min 流速分流成 1μL/min
分流比 R 為 1:999。(分流比較大時,所選的兩個管路半徑也應相差較大)
方案 1:
通過 PEEK 管 / SS316L 不銹鋼管路分流比數學表達式計算,可選取內徑為 0.04”I.D.、長為 256mm 的 PEEK 管作為支路 1;內徑為 0.01”I.D.、長為 999mm 的 PEEK 管作為支路 2,則支路 2 的流量即為 1μL/min。

3.5.2 實驗 2. EPP010 計量泵做微流量分流,將 1mL/min 流速分流成 10μL/min
分流比 R 為 1:99。
方案 2:
通過 PEEK 管 / SS316L 不銹鋼管路分流比數學表達式計算,可選取內徑為 0.04”I.D.、長為 16cm 的 PEEK 管作為支路 1;內徑為 0.02”I.D.、長為 99cm 的 PEEK 管作為支路 2,則支路 2 的流量即為 10μL/min。

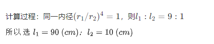
3.5.3 實驗 3. EPP010 計量泵做微流量分流,將 1mL/min 流速分流成 100μL/min
分流比 R 為 1:9。(比例相差不多時,可用同一內徑管路)
方案 3:
通過 PEEK 管 / SS316L 不銹鋼管路分流比數學表達式計算,可選取內徑為 0.007”I.D.、長為 90cm 的 PEEK 管作為支路 1;內徑為 0.007”I.D.、長為 10cm 的 PEEK 管作為支路 2,則支路 2 的流量即為 100μL/min。

4、結論
本方案用于 EPP010 計量泵微流量實驗,參考張聰的《微 / 納流量測量方法的研究與應用》的論文理論,用商品化 EPP010 計量泵借助 PEEK 管 / SS316L 不銹鋼管路分流模式可以得到準確穩定的微流量。該方案操作簡便、實用性強,可滿足用戶對微流量泵的需求。
訂貨信息

完整方案(PDF 版)下載提示
上述內容為《EPP010 計量泵微流量解決方案》核心摘要,完整 PDF 文檔包含以下關鍵內容,點擊鏈接即可獲取:
高清資料:圖 3-1 微流量分流系統裝置高清裝配圖、不同管路材質(PEEK/SS316L)實物對比圖;
計算工具:分流比快速計算表(含 10 + 組常用流量組合的管路參數推薦)、流量補償系數修正公式及示例;
應用數據:3 組實驗的實際流量穩定性測試報告(RSD<1.5%)、不同壓力下(0-10MPa)的流量偏差數據;
操作指南:管路連接分步示意圖、計量泵流速校準步驟及視頻教程。
下載通道
直接下載:m.fangytang.com/EPP010 計量泵微流量解決方案
技術咨詢:400-66-35483